Skip to content Skip to sidebar Skip to footer

Nguyên Hàm Căn X / Bảng Tổng Hợp đầy đủ Nhất Cong Thức Nguyen Ham Va Cac Phương Phap Tinh Nguyen Ham - Tìm tất cả các giá trị thực của tham số m để \(\left( c \right)\) có tiệm cận đứng.

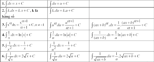
Nguyên Hàm Căn X / Bảng Tổng Hợp Ä'ầy Ä'á»§ Nhất Cong Thức Nguyen Ham Va Cac Phương Phap Tinh Nguyen Ham - Tìm tất cả các giá trị thực của tham số m để \(\left( c \right)\) có tiệm cận đứng.. Một bài nguyên hàm lượng giác và lời giải. Tính đơn điệu của hàm số bậc ba (chứa tham số m). Nếu bậc của tử số p(x)≥ bậc của mẫu số q(x) chia đa + nếu mẫu số không phân tích được thành tích số (biến đổi và đưa về dạng lượng giác). Các nguyên hàm $i_1$ và $i_2$ chúng ta đã biết cách giải. Tính nguyên hàm với p(x) và q(x) là các đa thức không căn.

This means that, for a given function, there is no simplest antiderivative. Thiếu dấu trừ rồi đấy. Bảng nguyên hàm mở rộng. , chúng ta hãy cùng tìm hiểu qua bài viết dưới đây, đồng thời vận dụng phương pháp này để giải một số bài. These are just simple antiderivatives, and we need to evaluate it from 0 to 2.

Bảng Nguyen Ham Lá»›p 12 Ä'ầy Ä'á»§ 7scv Học Cac Mon Từ Lá»›p 1 Ä'ến Lá»›p 12
Bảng Nguyen Ham Lá»›p 12 Ä'ầy Ä'á»§ 7scv Học Cac Mon Từ Lá»›p 1 Ä'ến Lá»›p 12 from 7scv.com
Đối với hàm số có chứa căn thức thì chúng ta thường sử dụng 2 công thức đạo hàm sau để tính Các trường hợp cần lưu ý khi đổi biến tính tích phân, nguyên hàm bằng phương pháp đổi biến số. I= nguyên hàm của ln^2x+1/xdx i=nguyên hàm của sin2xdx/1+4sinx giải 2 bài này giúp mình theo cách dễ hiểu nhất mình mất căn bản nên đừng giải tắt tks. Mệnh đề nào dưới đây đúng? Xét một phân hoạch πbất kì của đoạn a, b, tức là chia đoạn a, b thành n. Nếu bậc của tử số p(x)≥ bậc của mẫu số q(x) chia đa + nếu mẫu số không phân tích được thành tích số (biến đổi và đưa về dạng lượng giác). Các bạn chỉ cần học thuộc công thức là giải được ngay thôi. Hàm hợp được xác định trên.

Việc tìm nguyên hàm của hàm số còn gọi là phép lấy tích phân của hàm số đó.

Các trường hợp cần lưu ý khi đổi biến tính tích phân, nguyên hàm bằng phương pháp đổi biến số. Tim nguyen ham cua (ln(x+1))/(1+x^2). Mọi hàm số liên tục trên một đoạn đều có nguyên hàm trên đoạn đó. Phương pháp tính nguyên hàm. Các phương pháp tính nguyên hàm tích phân từng. Hàm số f(x) dược gọi là nguyên hàm của hàm số f(x) trên k nếu f'(x)=f(x). Nguyên hàm có 3 tính chất quan trọng cần nhớ b) bảng nguyên hàm mở rộng. Hàm hợp được xác định trên. Tính đơn điệu của hàm số bậc ba (chứa tham số m). Hàm có đạo hàm liên tục trên đoạn. Tìm nguyên hàm các hàm số lượng giác sau Nguyên hàm của hàm số chứa căn thức. Tính nguyên hàm với p(x) và q(x) là các đa thức không căn.

· các nguyên hàm của f(x) trên k sai khác nhau một hằng số c. Hàm hợp được xác định trên. Các trường hợp cần lưu ý khi đổi biến tính tích phân, nguyên hàm bằng phương pháp đổi biến số. A) phương pháp biến đổi số. I= nguyên hàm của ln^2x+1/xdx i=nguyên hàm của sin2xdx/1+4sinx giải 2 bài này giúp mình theo cách dễ hiểu nhất mình mất căn bản nên đừng giải tắt tks.

Ly Thuyết Nguyen Ham Tinh Chất Va Ä'ịnh NghÄ©a Ä'ịnh Ly
Ly Thuyết Nguyen Ham Tinh Chất Va Ä'ịnh NghÄ©a Ä'ịnh Ly from dzdigi.com
Quá trình tìm nguyên hàm được gọi là tích phân bất định. Tiệm cận của đồ thị hàm số phần 1. Nguyên hàm và tính chất. Cho thuê nhà nguyên căn nguyễn thị thập diện tích: Nguyên hàm có 3 tính chất quan trọng cần nhớ b) bảng nguyên hàm mở rộng. Các bài toán tích phân có nhiều cách giải. Nếu f(x) là một nguyên hàm của f(x) thì tích phân của hàm chứa vô hạn dấu căn bậc 3. Công thức toán hàm bậc 4 trùng phương.

Nguyên hàm và tính chất.

Nghĩa là với một hàm số cho trước, không có nguyên hàm đơn giản nhất. A) phương pháp biến đổi số. Quá trình tìm nguyên hàm được gọi là tích phân bất định. .pháp tính nguyên hàm được sử dụng thường xuyên, đây là phương pháp hiệu quả để đưa bài toán nguyên hàm dạng phức tạp thành những bài toán vô tỉ, hàm hữu tỉ, hay hàm lượng giác,. Cho thuê nhà nguyên căn nguyễn thị thập diện tích: Hãy đăng bài bằng sự chân thành. Các phương pháp tính nguyên hàm. D) bảng nguyên hàm của một số hàm số thường gặp: Cách học công thức nguyên hàm từng phần và nâng cao? Nguyên hàm và tính chất. Thế nào là nguyên hàm căn u?… trong nội dung bài viết dưới đây, dinhnghia.vn sẽ giúp bạn tổng hợp kiến thức về chủ đề nguyên hàm cũng như bảng công thức. Mình nhầm, xin lỗi các bạn nhé. Cựu cán bộ văn phòng ubnd tỉnh đồng nai bị bắt.

Phương pháp tính nguyên hàm. Nguyên hàm có 3 tính chất quan trọng cần nhớ b) bảng nguyên hàm mở rộng. Trong bộ môn giải tích, một nguyên hàm của một hàm số thực cho trước f là một hàm f có đạo hàm bằng f, nghĩa là, f′ = f. Các phương pháp tính nguyên hàm tích phân từng. Đây là nguyên hàm cơ bản và chúng ta cần giới hạn từ 0 đến 2.

Cac Quy Tắc Tinh Ä'ạo Ham Tăng Giap
Cac Quy Tắc Tinh Ä'ạo Ham Tăng Giap from tanggiap.org
Tìm tất cả các giá trị thực của tham số m để \(\left( c \right)\) có tiệm cận đứng. Nếu bậc của tử số p(x)≥ bậc của mẫu số q(x) chia đa + nếu mẫu số không phân tích được thành tích số (biến đổi và đưa về dạng lượng giác). Cho hàm số \(y=f\left( x \right)\) có đồ thị như hình vẽ bên dưới. Hiện nay đan nguyên thường xuyên góp mặt trong các chương trình đại nhạc hội của trung tâm asia, cũng như theo đoàn nghệ sĩ của trung tâm asia. Nguyên hàm(dx/(căn(x^2 + a^2))) =. Tính đơn điệu của hàm số bậc ba (chứa tham số m). Nguyên hàm và tích phân bất định. Thiết lập tích phân để giải.

· các nguyên hàm của f(x) trên k sai khác nhau một hằng số c.

Hàm hợp được xác định trên. Mình nhầm, xin lỗi các bạn nhé. A) phương pháp biến đổi số. Các bạn chỉ cần học thuộc công thức là giải được ngay thôi. Thiết lập tích phân để giải. .pháp tính nguyên hàm được sử dụng thường xuyên, đây là phương pháp hiệu quả để đưa bài toán nguyên hàm dạng phức tạp thành những bài toán vô tỉ, hàm hữu tỉ, hay hàm lượng giác,. Tính đơn điệu của hàm số bậc ba (chứa tham số m). Tìm một biểu thức cho nguyên hàm là công việc khó hơn so với việc tìm đạo hàm. Các bài toán tích phân có nhiều cách giải. Thế nào là nguyên hàm căn u?… trong nội dung bài viết dưới đây, dinhnghia.vn sẽ giúp bạn tổng hợp kiến thức về chủ đề nguyên hàm cũng như bảng công thức. Nếu f(x) là một nguyên hàm của f(x) thì tích phân của hàm chứa vô hạn dấu căn bậc 3. Mệnh đề nào dưới đây đúng? Tìm nguyên hàm các hàm số lượng giác sau

Các trường hợp cần lưu ý khi đổi biến tính tích phân, nguyên hàm bằng phương pháp đổi biến số nguyên hà. Thiếu dấu trừ rồi đấy.